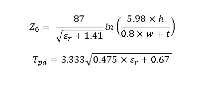
Formuła kalkulatora impedancji mikroprzewodnika
Kalkulator impedancji mikroprzewodnika wykorzystuje następującą formułę do oszacowania impedancji charakterystycznej Z₀ i opóźnienia propagacji TD:
Z₀ = funkcja(W_eff, H, ε_eff)
TD = √(ε_eff) / c × 10¹² × 0,0254 × korekta
W tej formule W_eff to efektywna szerokość ścieżki po uwzględnieniu korekty grubości, H jest grubością dielektryka, ε_eff jest efektywną stałą dielektryczną, a c to prędkość światła. TD wyrażone jest w pikosekundach na cal (ps/inch).
Wyjaśnienie formuły
Formuła pokazuje, jak geometria ścieżki mikroprzewodnika oraz właściwości dielektryka wpływają na impedancję i opóźnienie propagacji sygnału. Korekta grubości W_eff uwzględnia rzeczywiste właściwości przewodnika, a ε_eff uwzględnia wpływ materiału dielektrycznego na propagację sygnału. Z₀ określa impedancję charakterystyczną linii, natomiast TD określa czas propagacji sygnału na jednostkę długości.

Przykład obliczenia
Przyjmijmy parametry: W = 10 mils, t = 1 mil, H = 5 mils, εr = 4,5
1. Obliczamy korektę grubości i efektywną szerokość: W_eff ≈ W + Δ
2. Obliczamy efektywną stałą dielektryczną ε_eff przy użyciu formuły Hammerstada.
3. Obliczamy impedancję charakterystyczną Z₀ w ohmach i opóźnienie propagacji TD w ps/inch.
Wyniki przykładowe mogą być: Z₀ ≈ 50,1234 Ω, TD ≈ 95,4567 ps/inch
Zastosowania kalkulatora impedancji mikroprzewodnika
- Projektowanie ścieżek mikroprzewodnika o określonej impedancji.
- Optymalizacja PCB pod kątem charakterystyki transmisji sygnałów wysokiej częstotliwości.
- Obliczanie czasu propagacji sygnału dla projektów cyfrowych i RF.
- Analiza wpływu grubości przewodnika i dielektryka na impedancję linii.
- Symulacja i weryfikacja projektów ścieżek mikroprzewodnika przed produkcją.