Wzór Kalkulatora Maksymalnego Zasięgu Radaru
Kalkulator Maksymalnego Zasięgu Radaru wykorzystuje następujący wzór do oszacowania maksymalnej odległości detekcji:
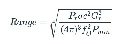
R = ((Pt × σ × c² × G²) / ((4π)³ × f₀² × Pmin))^(1/4)
Gdzie R to maksymalny zasięg w metrach, Pt to moc nadawcza radaru, σ to efektywna powierzchnia radarowa celu, c to prędkość światła, G to wzmocnienie anteny, f₀ to częstotliwość pracy, a Pmin to minimalna wykrywalna moc sygnału.
Wyjaśnienie Wzoru
Wzór pokazuje, jak maksymalny zasięg radaru zależy od głównych parametrów systemu. Zwiększenie mocy nadawczej Pt lub wzmocnienia anteny G zwiększa zasięg. Większa efektywna powierzchnia radarowa σ ułatwia wykrywanie celu. Wyższe częstotliwości pracy i większa minimalna wykrywalna moc Pmin zmniejszają maksymalny zasięg.

Przykład Obliczenia
Załóżmy następujące wartości:
Pt = 10 W, G = 100, f₀ = 3 GHz, σ = 1 m², Pmin = 1e-9 W
Po podstawieniu do wzoru:
R = ((10 × 1 × (3×10⁸)² × 100²) / ((4π)³ × (3×10⁹)² × 1e-9))^(1/4) ≈ 26,2 km
Wynik pokazuje teoretyczną maksymalną odległość, na której radar może wykryć cel o powierzchni radarowej 1 m².
Zastosowania Kalkulatora Maksymalnego Zasięgu Radaru
- Określanie maksymalnego zasięgu detekcji dla radarów obserwacyjnych.
- Projektowanie i optymalizacja systemów radarowych w zastosowaniach cywilnych i wojskowych.
- Analiza wydajności radaru w zależności od częstotliwości i mocy nadawczej.
- Ocena wpływu efektywnej powierzchni radarowej celu na wykrywalność.
- Symulowanie scenariuszy radarowych do celów inżynierskich i naukowych.